ITC-1 (ECE-4007)
SYLLABUS (This Document contains Module 1,2,3)
Module:1 Introduction:
Review of Probability Theory, Introduction to information theory
Module:2 Entropy:
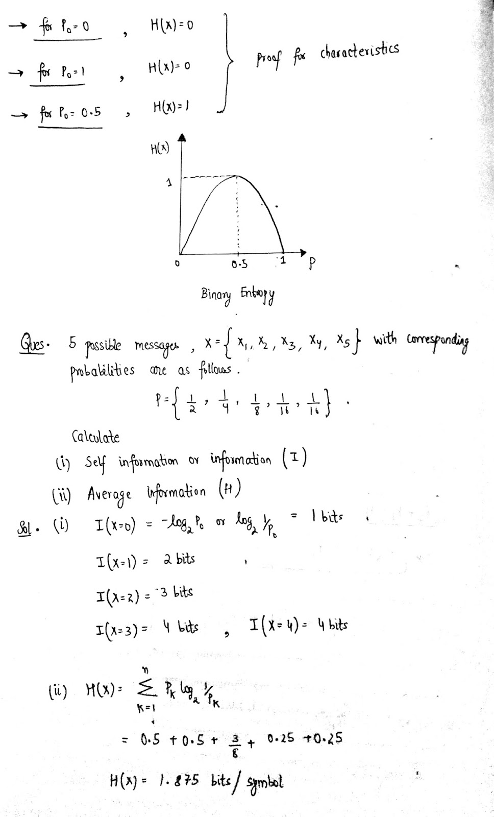
Uncertainty, self-information, average information, mutual information and their properties - Entropy
and information rate of Markov sources - Information measures of continuous random variables.
and information rate of Markov sources - Information measures of continuous random variables.
Module:3 Channel Models and Capacity:
Importance and types of various channel models - Channel capacity calculation – Binary symmetric
channel, binary erasure channel - Shannon’s channel capacity and channel coding theorem - Shannon’s limit.
Module:4 Source Coding I:
Source coding theorem - Huffman coding - Non binary Huffman codes - Adaptive Huffman coding -
Shannon Fano Elias coding - Non binary Shannon Fano codes
Module:5 Source Coding II
Arithmetic coding - Lempel-Ziv coding - Run-length encoding and rate distortion function - Overview of transform coding.
Module:6 Channel Coding I:
Introduction to Error control codes - Block codes, linear block codes, cyclic codes and their properties, Encoder and Decoder design- serial and parallel concatenated block code, Convolution Codes- Properties, Encoder-Tree diagram, Trellis diagram, state diagram, transfer function of convolutional codes, Viterbi Decoding, Trellis coding, Reed Solomon codes.
Module:7 Channel Coding II:
Serial and parallel concatenated convolutional codes, Block and convolutional interleaver, Turbo coder, Iterative Turbo decoder, Trellis coded modulation-set partitioning - LDPC Codes.
Module:8 Contemporary Issues






































Comments
Post a Comment